РЕЦЕПТ НА ЩАСТЯ
Кожна людина хоче бути щасливою. Та що, власне, є щастя? У тлумачному словнику дається визначення: це стан цілковитого, найвищого задоволення. А чи можна визначити, що складає підґрунтя наукового аналізу стану, який є таким жаданим для нас? Виявляється, можна. Відчуття задоволення й радості забезпечують три основних класи фізіологічно активних сполук, наведені нижче. Вони виникають тільки в конкретних відділах мозку і в достатній кількості. Тобто всі процеси відбуваються за певних умов. Ці класи хімічних сполук належать до важливої групи нейрон-них медіаторів та модуляторів головного мозку.
Молекули блаженства
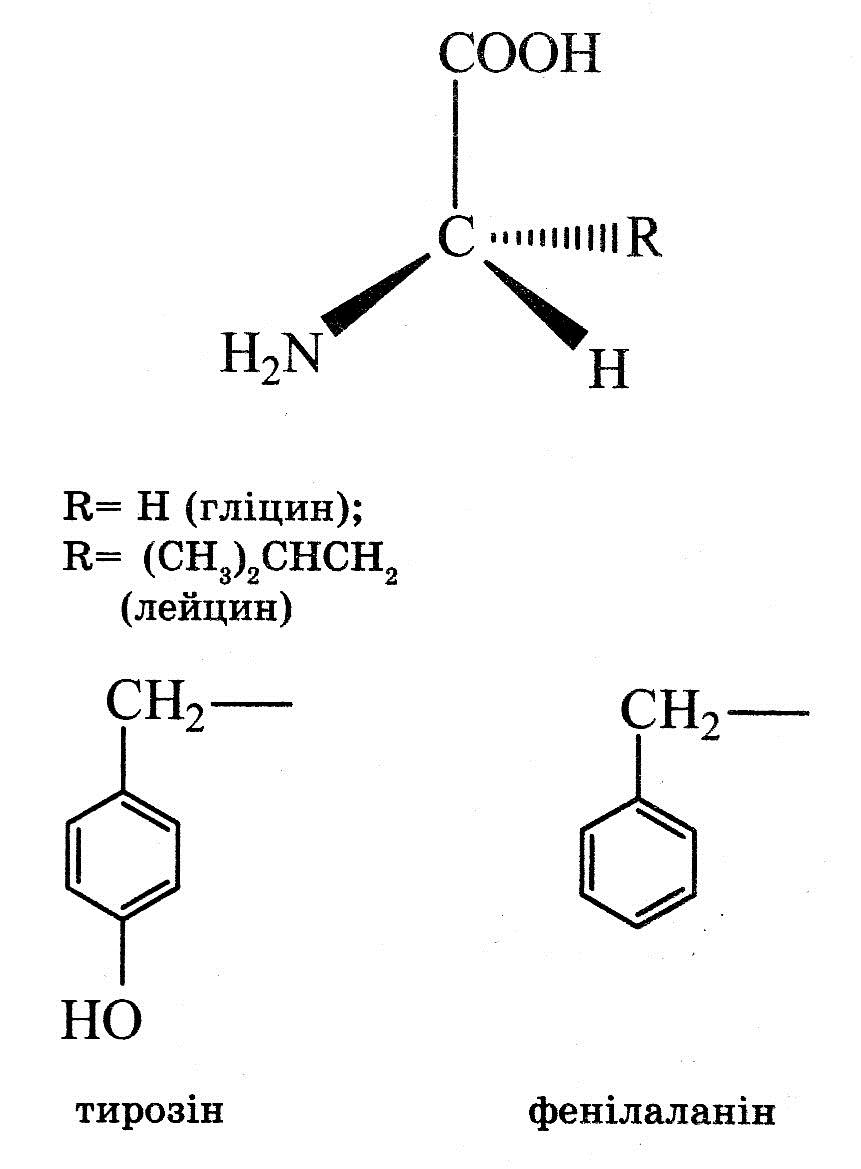
Енкефаліни й ендорфіни. Хіміки відносять їх до поліпептидів, тобто йдеться про коротенькі ланцюжки молекул, що складаються з амінокислотних залишків. У живих організмах ці молекули утворюються відщепленням фрагментів від набагато більших молекул-по-передників — білків. Енкефаліни містять у собі всього-на-всього п'ять відомих амінокислотних залишків, наприклад, тирозин — гліцин — гліцин - фенілаланін — лейцин. Довжина ендорфінів — від 16 до 31 амінокислотних залишків. При цьому кінець ланцюжка обов'язково «збігається» з будовою молекули енкефаліну.

|